MODELO COMPUTACIONAL PARA REEMPLAZAR EL MATERIAL DEL REFUERZO INFERIOR DE PARACHOQUES EN PREPROTOTIPADO
Computational model to replace the lower bumper stiffener material prior to prototyping
Modelo computacional para substituir o material reforçador do pára-choques inferior antes da prototipagem
Andrés
Villarruel-Jaramillo1
, Juan Rocha-Hoyos1
, Edilberto Llanes-Cedeño1
& Javier Martinez-Gómez2![]()
1 Facultad de Arquitectura e Ingeniería. Universidad Internacional SEK. Quito-Ecuador. Correo: [email protected], [email protected], [email protected]
2 Instituto Nacional de Eficiencia Energética y Energías Renovables – INER. Quito-Ecuador. Correo: [email protected]
Fecha de recepción: 28 de mayo de 2018
Fecha de aceptación: 1 de julio de 2019
INTRODUCCIÓN. Se desarrolla un método computacional para la simulación dinámica del sistema de protección de peatones y análisis de cambio de material, con el fin de disminuir costos en pruebas que comúnmente requieren ensayos destructivos y, que dificultan el proceso de prototipado ante la necesidad de aumentar el número de piezas fabricadas en Ecuador. OBJETIVO. Validar un modelo de simulación computacional para reemplazo del material original del refuerzo inferior de parachoques del Kia Sportage R-2014 con materiales alternos. MÉTODO. El sistema fue digitalizado en el software Unigraphics NX, en base a la norma ACEA/2003/102/CE y el protocolo del Adendum 126: Regulación-N°127 de la ONU relativo a protección de peatones, los componentes fueron simulados con ayuda de Ansys Student usando 6 materiales alternos al original. RESULTADOS: La normativa de protección se cumple para todos los materiales, con excepción del ABS que supera los 200 g, mientras que el material con menor deformación y rotura es el PLA. DISCUSIÓN Y CONCLUSIONES: Dada las propiedades en deformación estructural, masa y aceleración en el impactador de piernas, se considera al PLA como el material con las características más cercanas al material original, mientras el policarbonato en caso de usar materiales disponibles en la industria ecuatoriana es el segundo material con las mejores propiedades, sin embargo, sufre una leve rotura en su zona frontal tras el impacto.
Palabras clave: materiales poliméricos, LBS, simulación computacional.
INTRODUCTION. A computational method is developed for the dynamic simulation of the pedestrian protection system and material change analysis, in order to reduce costs in tests that commonly require destructive tests and that hinder the process of prototyping in the face of the need to increase the number of pieces manufactured in Ecuador. OBJECTIVE. Validate a computational simulation model to replace the original material of the lower bumper stiffener of the Kia Sportage R-2014 with alternative materials. METHOD. The system was digitized in Unigraphics NX software, based on the ACEA/2003/102/CE standard and protocol of the Addendum 126: Regulation No. 127 of ONU regarding pedestrian protection, the components were simulated with the help of Ansys Student using 6 alternative materials to the original. RESULTS: The protection regulations are met for all materials, with the exception of ABS that exceeds 200 g, while the material with less deformation and breakage is the PLA. DISCUSSION AND CONCLUSIONS: Given the properties in structural deformation, mass and acceleration in the leg impactor, the PLA is considered as the material with the characteristics closest to the original material, while the polycarbonate in case of using materials available in the Ecuadorian industry it is the second material with the best properties, however, suffer a slight break in its frontal area after the impact.
Keywords: polymer materials, LBS, computer simulation.
INTRODUÇÃO. Um método computacional é desenvolvido para a simulação dinâmica do sistema de proteção de pedestres e análise de mudança de material, a fim de reduzir os custos em testes que comumente requerem testes destrutivos e isso dificulta o processo de prototipagem diante da necessidade de aumentar o número de peças fabricadas no Equador. OBJETIVO. Validar um modelo de simulação computacional para substituir o material original do reforço do pára-choques inferior do Kia Sportage R-2014 por materiais alternativos. MÉTODO. O sistema foi digitalizado no software Unigraphics NX, baseado no padrão ACEA/2003/102/CE e no protocolo do Adendo 126: Regulamento nº 127 da ONU referente à proteção de pedestres, os componentes foram simulados com auxílio do Ansys Student utilizando 6 alternativas materiais para o original. RESULTADOS: Os normas de proteção são cumpridos para todos os materiais, com exceção do ABS que excede 200 g, enquanto o material com menos deformação e quebra é o PLA. DISCUSSÃO E CONCLUSÕES: Dadas as propriedades de deformação estrutural, massa e aceleração no impactor da perna, o PLA é considerado como o material com as características mais próximas do material original, enquanto o policarbonato no caso de utilização de materiais disponíveis na indústria equatoriana, é o segundo material com as melhores propriedades, no entanto, sofrem uma pequena quebra na sua área frontal após o impacto.
Palavras-chave: materiais poliméricos, LBS, simulação computacional.
Reducir los componentes importados para el CKD, es una prioridad para la industria ecuatoriana, puesto que el COMEX y CINEA acordaron alcanzar para el año 2020 un 19 % de partes de fabricación nacional en relación al peso total del vehículo, con el fin de mantener un valor bajo en las partidas arancelarias [1].
Acorde a la afirmación de Szeteiová respecto al crecimiento de polímeros en la industria automotriz en los últimos años [2], es posible considerar esta clase de componentes para su producción, pero se debe resaltar el alto nivel de acabado en zonas visibles como el habitáculo o parachoques, que en consecuencia genera limitaciones económicas y tecnológicas producidas por la competencia de precios en su comercialización frente a productos importados [1].
De esta manera puede afirmarse que para cumplir el acuerdo nacional en el tiempo previsto, es ideal analizar componentes no visibles que conformen los sistemas de protección del vehículo, los cuales son susceptibles a recambios con una mayor frecuencia, en efecto se evalúa al refuerzo inferior de parachoques (LBS) que forma parte del sistema de protección de peatones (PPS), sin embargo, los retos en la producción del CKD automotriz de sistemas de protección del vehículo se basa en cumplir con normas nacionales e internacionales, como aprobaciones técnicas de fábrica de origen para su respectiva homologación, que en la etapa de prototipado es acompañado por ensayos destructivos con un elevado costo para corroborar la calidad del elemento.
Teniendo en cuenta la necesidad del país en incrementar la producción nacional en corto tiempo, la presente investigación tiene como objetivo validar un modelo de simulación computacional para reemplazo del material original del refuerzo inferior de parachoques del Kia Sportage R (2010-2014) con materiales alternos. Si se considera el funcionamiento elemental del LBS cuyo criterio de diseño se basa en obtener una relación equitativa entre material y estructura del diseño, que se ve reflejado en un análisis de daños bajo normativas usando un impactador de piernas [3], es posible afirmar la importancia de evaluar la geometría del elemento a estudiar antes de considerar materiales de reemplazo.
Karimullah sugiere que un rasgo importante en la construcción de un LBS es su aplicación al tipo de vehículo, lo cual puede facilitar o debilitar el proceso de diseño debido a la posibilidad de disminuir daños en el impactador, siendo más flexible la aplicación de polímeros poco tradicionales en la industria automotriz [4], en consecuencia, es importante valorar la influencia de otros componentes sobre él LBS.
Los retos actuales de cualquier diseñador es disminuir los costos durante la preproducción, una forma de cumplir con este reto es usando simulación computacional para descartar diseños o materiales antes de llegar a pruebas destructivas [3] [4]. Según estudios realizados por el método de elementos finitos y validados con ensayos físicos, la simulación computacional ofrece resultados precisos al valorar las cargas dinámicas a la que es sometido un impactador de piernas [3] [4] [5]. Cabe resaltar que Shahbeyk detalla el proceso para evaluar un impactador de piernas cuyos resultados fueron comparados con ensayos físicos, obteniendo resultados precisos [5], por tanto, es posible evaluar características del impactador de piernas bajo una metodología reconocida en ensayos computacionales y destructivos.
Si se considera la precisión de softwares computacionales para pruebas de colisión de vehículos o impactos balísticos donde la principal evaluación para la convergencia de resultados se basa en la frecuencia natural del material que recibe el impacto [3] [4] [6], es posible desarrollar una metodología para replicar el evento por medio de la simulación computacional, permitiendo analizar materiales del PPS a bajo costo previo al prototipado.
Materiales
Para el desarrollo del tema a estudiar se usó el vehículo Sportage 2014, para tomas de medidas se usa calibrador pie de rey y scanner 3D, se identifica que el sistema a simular es un evento dinámico, por tanto, a raíz de esta premisa se realiza un análisis de estudios similares usando las normativas del Adendum126: Regulación N°127 relativo a ensayos del PPS más la normativa ACEA/2003/102/CE relativa a daños mínimos del impactador, y se considera una gama de polímeros acorde a las propiedades del material base.
Instrumentos/técnicas de recolección de datos
Se usará el software Unigraphics NX para modelado CAD y a Ansys Student para simulación computacional, siendo posible extraer las propiedades necesarias para toma de decisiones, además se debe considerar cálculos para establecer un modelo de simulación computacional a partir de la frecuencia natural del material; comparar con ensayos de similares características, y finalmente establecer una selección adecuada con los resultados de simulaciones realizadas aplicando un método de selección multicriterio para reforzar la decisión.
Procedimiento
Obtención de la frecuencia
natural del material: usando la ecuación 1 es posible brindar estabilidad y
convergencia al sistema de un evento dinámico, donde
es la frecuencia natural,
es la propagación de onda,
es la longitud mínima del elemento [7].
![]()
El cálculo de propagación de
onda se realizará en base a un modelo de malla hexaédrico como se muestra en la
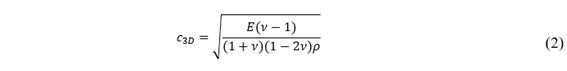
ecuación 2, mismo que evita pérdidas en geometrías complejas como la del LBS,
donde,
es la velocidad de propagación de onda
para elementos hexaédricos,
es el módulo de Young,
es el coeficiente de Poisson y,
es la densidad del material. Para
obtener la longitud característica del elemento, se divide el volumen total del
elemento por el área del lado mayor [8].

En base al cálculo de tiempo de propagación de onda, se determina el número mínimo de ciclos del sistema [8]
a.
Criterio de
validación de simulación computacional: se usará como guía un estudio de
ensayos experimental entre la colisión de una placa de acero y un proyectil, en
la figura 1.a, se muestra el esquema y medidas a modelar [9]. La simulación
consiste en colisionar un proyectil a 5 diferentes velocidades acorde a
Karthikeyan, cuyos materiales introducidos serán SS 304 para la placa, mientras
que el proyectil sera un acero estructural [9]. Para reducir gasto
computacional se realiza dos cortes simétricos en el eje x y y como se muestra
en la figura 1.b; mientras la malla se forma usando la herramienta body sizing,
la cual permite limitar el número de nodos acorde a los resultados de la
longitud característica del elemento, generándose en el modelo desarrollado 10
990 nodos.
b.


Figura 1. a) Parámetros de funcionamiento del ensayo experimental entre una lámina de acero y un proyectil [9]. b) Generación de mallado computacional para el impacto entre un proyectil y una placa de acero.
La malla generada se evalúa a través de las estadísticas de mallado de Ansys, como se muestra en la tabla 1.
Tabla 1. Estadísticas de la malla con el método Jacobian Radio para placa de acero.
|
Descripción |
N |
E |
Max |
Min |
P |
De |
|
Malla |
1,10E+03 |
9,10E+02 |
6,30E+00 |
3,70E+00 |
1,10E+00 |
1,4E-01 |
Clave: N: número de nodos. E: número de elementos. Max: valor mínimo. Min: valor máximo. P: promedio. De: desviación estándar.
Para facilitar la lectura de resultados, se procede a seleccionar un nodo de la placa de acero como se muestra en la figura 2. Como parámetros de borde se crea una fijación de los extremos de la placa, en la figura 3 se muestra los detalles de “Analisys Settings” donde se limita el evento a una duración de 5 ms sin limitar el número de ciclos, mientras que el proyectil se le incluirá una velocidad en el eje z, cuya variación será de: 54, 77, 148, 165 y, 207 m/s [9]. Para la validación del sistema los resultados experimentales con los simulados no deben tener una diferencia mayor al 10 % [10].

Figura 2. Selección de nodo para medición de deformación en la placa de acero.


Figura 3. Detalle de valores introducidos en condiciones de borde del software.
Análisis del funcionamiento del sistema de protección de peatones: en la figura 4 se identifica las partes del sistema como los materiales usados para el LBS y UBS (refuerzo superior de parachoques), pintados de color blanco, el material de fábrica por cada componente es PP para el UBS y TPO para el UBS.

Figura 4. Vista lateral del UBS y LBS, e identificación de materiales.
A raíz de la identificación del sistema se realizaron las siguientes acciones: a) Modelado del UBS y LBS: mediante scanner 3D se confirma medidas de zonas complejas y con el uso del software NX se digitaliza en 3D como lo muestra la figura 5.


Figura 5. Modelado del refuerzo superior (UBS) e inferior (LBS) de parachoques.
Modelado del impactador de piernas avalado por la ONU y la Directiva ACEA: se trata de elementos detallados en la tabla 2, donde se específica las condiciones geométricas, masa y materiales con un rango de tolerancia para la construcción del prototipo de ensayos físicos [11].
Tabla 2. Características del impactador de piernas avalado por la ONU [5].
|
Descripción |
M |
L |
M |
D |
E |
Cg |
MI |
|
Fémur |
Acero |
432 |
8,6±0,1 |
70±1 |
|
217±10 |
0,127 ± 0,01 |
|
Tibia |
Acero |
494 |
4,8±0,1 |
70±1 |
|
233±10 |
0,120 ± 0,01 |
|
Masa muscular |
CF-45 |
|
|
|
25 |
|
|
|
Piel |
Nylon |
|
0,05 |
|
6 |
|
|
Clave. M:
material. L: longitud (mm). D: diámetro (mm). E: espesor (mm). Cg: centro de
gravedad respectivamente del centro de la rodilla (mm). MI: momento de inercia
en (
).
Ensamble del sistema para evaluación computacional: en la figura 7 se muestra el ensamble final en el software CAD.

Figura 6. Ensamble de elementos CAD.
Asignación de materiales: las propiedades de cada material se han escogido en base a los requisitos de simulación de Ansys, por tanto, para la creación del material se introducirá el nombre del material, referencia de datos obtenidos y en la pestaña Linear Elastic, se seleccionará la opción Isotropic Elastic y como factor de falla se adicionará la opción Plastic Strain Failure. En la tabla 3 se detallan las propiedades requeridas por cada material como posibles reemplazos del PP siendo el PE, PS y PC materiales disponibles en el mercado nacional.
Tabla 3. Propiedades de materiales alternos considerados para el reemplazo del polipropileno (PP) [12], [13].
|
Materiales |
D |
E |
v |
Ef |
Er |
|
Polietileno (PE) |
9,20E+02 |
2,80E+08 |
4,60E-01 |
7,70E+06 |
0,1 |
|
Polietileno (PS) |
1,20E+03 |
3,20E+09 |
4,00E-01 |
5,90E+07 |
0,03 |
|
Policarbonato (PC) |
1,20E+03 |
2,30E+09 |
3,70E-01 |
7,90E+07 |
0,05 |
|
ABS |
8,80E+02 |
2,40E+09 |
3,30E-01 |
3,00E+07 |
0,1 |
|
PLA |
1,10E+03 |
1,30E+09 |
3,60E-01 |
7,00E+07 |
0,7 |
|
PC/ABS 10%FV |
9,60E+02 |
4,10E+09 |
3,60E-01 |
7,90E+07 |
0,05 |
Clave. d: densidad (kg*m-3). E: módulo de Young (Pa). v: coeficiente de Poisson. Ef: esfuerzo a la fluencia (Pa). Er: elongación a la rotura (%).
Simulación dinámica estructural: se realizará un corte por simetría en el eje Y para disminuir gasto computacional. Usando las ecuaciones 1 y 2, se procede a realizar los cálculos de propagación de onda por cada material y en base a los resultados del cálculo se optimiza el mallado. La tabla 4, muestra el análisis de malla, con el método Jacobiano, se aprecia un promedio de uno y una baja desviación estándar.
Tabla 4. Estadísticas de la malla para el PPS e impactador.
|
Descripción |
N |
E |
Max |
Min |
P |
De |
|
Malla |
9,60E+03 |
2,60E+04 |
5,30E-01 |
1,00E+00 |
1,00E+00 |
0,01 |
Clave: N: número de nodos. E: número de elementos. Max: valor mínimo. Min: valor máximo. P: promedio. De: desviación estándar.
Previo a las condiciones de borde, siguiendo el procedimiento mostrado para validar la simulación, se toman tres nodos en la zona frontal del UBS para mediciones de deformación y un nodo en el impactador que simula un acelerómetro. Para los parámetros de borde, se restringe a las bases del UBS y LBS como fijas, mientras al impactador se le da una velocidad de 40 km/h en dirección del eje z con una aceleración constante como se muestra en la figura 7, el evento durara 35 milisegundos.
a. b.


Figura 7. a.
Selección de cuerpos para aplicar velocidad en el eje X; b. Selección de caras
para soportes fijos.
Para el análisis, se toma la aceleración del nodo del impactador, la deformación estructural de los nodos seleccionados en el UBS, y el esfuerzo equivalente de Von Misses en el LBS; este procedimiento se realizará cambiando el material del LBS con los seis materiales alternos de la tabla 3 [12], [13].
Selección de material: para
elegir el más óptimo se usará el MCDM TOPSIS, el cual permite establecer un
ranking de selección tomando una base guía [14]. Se establece una matriz donde
representa los resultados obtenidos de
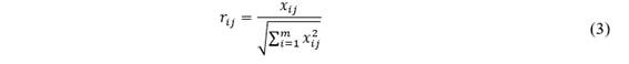
la simulación [15]. La normalización de la matriz se hace en base a la ecuación
3, donde
representa el valor de normalización de
la matriz [16].

El cálculo del valor
normalizado se realiza con la ecuación 4, donde
es el valor de normalización y
son parámetros ideales de
funcionamiento del LBS [14].
![]()
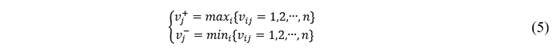
Para el estudio se maximiza el resultado con la ecuación 5 [14].

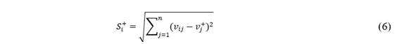
La separación de cada
alternativa se determina por la distancia Euclidiana que se define con la
ecuación 6, donde
representa la distancia positiva [17].

La ecuación 11, se usa para
establecer la cercanía de las alternativas, donde
es el máximo valor que relaciona a las
propiedades de funcionamiento obtenidas [18].

Esta sección se dividirá en dos partes: validación del modelo computacional y; simulación dinámica.
Validación de modelo computacional: En la tabla 5 se muestran los resultados de los números mínimos de ciclo para la simulación, siendo 40 ciclos para este modelo.
Tabla 5. Resultados de cálculo de tiempo de propagación de onda.
|
Elemento |
Material |
c |
l |
tc |
N° |
|
Placa |
SS 304 |
5,70E+03 |
7,10E-01 |
1,30E-01 |
40 |
Clave. c: propagación de onda (m/s). l: longitud mínima de material (mm). tc: frecuencia natural (ms). N°: número de ciclos
Los resultados de deformación de la placa se presentan en la figura 8, donde se observa en 12.e que a 207 m/s se tiene la máxima deformación con19.62 mm previo a la rotura del material.
f. 225 m/s b. 77 m/s e. 207 m/s d. 165 m/s c. 148 m/s a. 54 m/s






Figura 8. Resultados de simulación del impacto del proyectil con variación de velocidades. Leyenda: Deformación en milimetros: a) 6.11; b) 8.39; c) 14.8; d) 16.29; e) 19.62; f) 197.52.
Resultados de simulación dinámica del PPS e impactador: en base a la tabla 6, es posible determinar el máximo y mínimo número de ciclos, siendo el máximo para el PC/ABS 10%FV con 2 632 ciclos y el mínimo para el PE con 1 159 ciclos.
Tabla 6. Resultados de cálculo de tiempo y número de ciclos del LBS con distintos materiales.
|
Material |
c |
l |
tc |
N° |
|
PP |
1,90E+03 |
3,60E-02 |
1,90E-02 |
1823 |
|
PE |
1,20E+03 |
3,60E-02 |
3,00E-02 |
1159 |
|
PS |
2,40E+03 |
3,60E-02 |
1,50E-02 |
2349 |
|
PC |
1,90E+03 |
3,60E-02 |
1,90E-02 |
1823 |
|
ABS |
2,00E+03 |
3,60E-02 |
1,80E-02 |
1977 |
|
PLA |
1,40E+03 |
3,60E-02 |
2,50E-02 |
1389 |
|
PC/ABS 10%FV |
2,70E+03 |
3,60E-02 |
1,30E-02 |
2632 |
Clave. c: propagación de onda (m/s). l: longitud mínima de material (mm). tc: frecuencia natural (ms). N°: número de ciclos.
La aceleración en el impactador con los materiales de preselección se detalla en la tabla 7. Para cumplir la normativa no debe superar los 200 g, el único material sin cumplir dicha normativa es el ABS.
Tabla 7. Aceleración G del impactador de piernas con los materiales propuestos.
|
Descripción |
C |
N |
|
PP |
3,20E+01 |
|
|
PS |
1,30E+02 |
|
|
PE |
2,40E+01 |
|
|
PC |
1,50E+01 |
|
|
ABS |
|
5,40E+03 |
|
PLA |
3,80E+00 |
|
|
PC/ABS 10%FV |
5,80E+01 |
|
Clave. C: menor a 150 g. N: mayor a 200 g.
La tabla 8 según los materiales aplicados, muestran al ABS como el material de menor masa con 1.9 kg, mientras el estrés equivalente de Von Mises muestra al PP como material con mayor valor siendo 3,5E+02 MPa, seguido del PC/ABS 10%FV mientras el PE con 7.7 MPa es el material con menor valor, sin embargo, el valor del PP no es superado por los materiales preseleccionados.
Tabla 8. Resultados de la masa y esfuerzo equivalente en el LBS.
|
Descripción |
M |
EVM |
|
PP |
1,9 |
3,50E+02 |
|
PLA |
2,5 |
7,00E+01 |
|
PC |
2,1 |
7,80E+01 |
|
PC/ABS 10%FV |
2,6 |
7,90E+01 |
|
PE |
1,9 |
7,70E+00 |
|
ABS |
2,3 |
3,00E+01 |
|
PS |
2,1 |
5,90E+01 |
Clave. M: masa (kg). EVM: esfuerzo equivalente de Von Mises (MPa).
Los valores resultantes en la deformación estructural tras la colisión, pueden observarse en la tabla 9, donde se tiene una deformación máxima y mínima por cada nodo que permitirá analizar su comportamiento; se puede resaltar que el ABS con 8,90E+02 mm tiene el máximo desplazamiento en el nodo uno.
Tabla 9. Comparación de la deformación del LBS con simulación dinámica considerando el uso de distintos materiales.
|
Material |
X |
N1 |
N2 |
N3 |
|
PP |
+ |
2,00E+01 |
4,40E+00 |
1,20E+00 |
|
- |
2,70E+01 |
1,40E+01 |
3,50E+00 |
|
|
PLA |
+ |
5,80E+01 |
1,00E+01 |
6,90E+00 |
|
- |
4,50E+01 |
2,90E+01 |
1,80E+01 |
|
|
PC |
+ |
0,00E+00 |
5,40E+00 |
2,90E+00 |
|
- |
2,10E+02 |
7,70E+00 |
3,80E+00 |
|
|
PC/ABS 10%FV |
+ |
0,00E+00 |
3,30E-03 |
3,60E-02 |
|
- |
3,20E+02 |
3,00E+01 |
1,70E+01 |
|
|
PE |
+ |
0,00E+00 |
2,00E+01 |
1,30E+01 |
|
- |
3,20E+02 |
5,60E+01 |
3,30E+01 |
|
|
ABS |
+ |
1,70E-01 |
3,70E-03 |
9,00E-03 |
|
- |
8,90E+02 |
2,00E+01 |
1,10E+01 |
|
|
PS |
+ |
2,50E-01 |
4,60E-03 |
1,90E-02 |
|
- |
1,20E+03 |
1,30E+01 |
5,90E+00 |
Clave. X: deformación positiva o negativa en eje X. N1: nodo 1. N2. Nodo 2. N3. Nodo 3.
El criterio de validación de un ensayo experimental frente al computacional se basa en no superar una diferencia del 10 %, es tal su importancia que este criterio es analizado por autores con el fin de comparar sus modelos de simulación para disminuir costos en investigaciones futuras [3] [4] [5]. En relación a lo expuesto, con la tecnología actual es posible replicar ensayos destructivos sin incurrir en costos adicionales. Comparando los resultados en [10] y los simulados, se tiene una diferencia en las velocidades aplicadas entre el 3 y 8 % como se aprecia en la tabla 10. Una forma de asegurar los resultados en eventos dinámicos es el cálculo de la frecuencia natural [7][8], siendo determinante para definir el mallado sin aumentar el gasto computacional para un evento de colisión.
Tabla 10. Resultados de ensayos físicos y simulación computacional de la placa de acero.
|
V |
E |
S |
D |
|
54 |
6,20E+00 |
6,00E+00 |
3% |
|
77 |
8,10E+00 |
8,40E+00 |
4% |
|
148 |
1,40E+01 |
1,50E+01 |
8% |
|
165 |
1,50E+01 |
1,60E+01 |
8% |
|
207 |
1,80E+01 |
2,00E+01 |
8% |
Clave. v: velocidades de impacto (m/s). E: deformación en ensayo (mm). S. deformación en simulación (mm). D: diferencia entre resultados experimentales y simulados.
La aceleración en la zona superior de la tibia se correlaciona con daños en articulaciones durante el impacto [5]. Acorde a los datos obtenidos, el PLA es el material con mejores resultados con 3.8 g, un diseño del LBS que permita una buena disipación de energía combinando absorbedores dará mejores resultados para el cumplimiento de la normativa [4]. Un hecho similar se tiene con el Sportage R, la inclusión del UBS en el PPS, permite experimentar con una gama mayor de materiales.
Una manera de medir la disipación de energía es con el estrés equivalente de Von Mises, si bien los autores no lo referencian como factor a considerar en el diseño, puesto que validan resultados experimentalmente con pruebas de Instron para medir corrugación [3], esta propiedad permite evaluar una geometría según la distribución de presión [8]. Analizando el diseño del LBS del Sportage se aprecian hexágonos superpuestos en dirección de la posible colisión, considerando la importancia de disipar la energía en base a la corrugación del material [3][4], por tanto, se deduce que mientras mayor sea el estrés equivalente, el elemento será capaz de soportar mayores cargas. Comparando los resultados con la figura 9, el PP es el material con mayor valor 3,5E+2 MPa sin daños del material, mientras que con el ABS se tiene 3,0E+1MPa y al terminar el evento hay una rotura del mismo.

Figura 9. Comparación del esfuerzo equivalente de Von Mises entre PP y ABS.
La capacidad de deformación de un LBS está directamente asociado por el diseño del elemento, por tanto, es posible descartar varios tipos de materiales para su estudio validando su diseño previamente por simulación [4], bajo esta premisa podemos deducir que el LBS del Sportage contiene un buen diseño geométrico con material base de PP, puesto que al final del evento recupera su forma original, esto se debe a que la energía es absorbida por su capacidad de compactarse, disminuyendo el daño a los miembros inferiores, en estudios similares un material que se descarta de inmediato con la simulación es el PP debido a una rotura casi inmediata [3]. En este estudio el ABS es un material frágil para el diseño geométrico del Sportage, obteniendo una baja absorción de energía, lo que produce una rotura importante al recibir al impactador y a su vez incumple con la normativa ACEA, por tal motivo no tendría sentido validar a este material para un ensayo destructivo, en la figura 10 se aprecia la comparación gráfica de deformaciones.
a)


b)


Figura 10. Comparación de deformación del LBS: a) PP y ABS; b) PLA y PC.
Una forma de fortalecer la selección del material es por medio del MCDM, con esto se evita descartar materiales novedosos y a su vez considerar correlaciones entre las propiedades a comparar [6], usando el método TOPSIS y considerando los resultados obtenidos aplicando PP al LBS, se obtiene que el material mejor clasificado es el PLA, seguido del PC/ABS10%FV y en tercer lugar al PC. Si bien existen características que son mejores usando PC, es importante considerar la influencia del peso en cualquier parte de un vehículo [14]-[18], este factor lo cumple el PLA siendo el mas liviano de los materiales propuestos. Los MCDM son una herramienta que facilita la selección pero que el criterio final queda a discernimiento del autor que analiza los resultados [17]. En relación a lo expuesto, el MCDM posiciona en segundo lugar al material compuesto principalmente por la masa, sin embargo, se usa un material que disminuye las características del PC en lugar de potenciarlas, por tanto, se considera como segunda opción al PC debido a su facilidad para encontrarlo dentro del mercado local y su mejor comportamiento frente al cumplimiento de la normativa.
En base a lo expuesto se puede concluir: la confiabilidad de usar el cálculo de propagación de onda para optimizar la malla y el costo computacional, permite replicar modelos computacionales con un margen de error mínimo, con lo cual es posible obtener resultados precisos sin tener que incurrir a ensayos destructivos.
En el diseño de un LBS, influyen factores como la geometría y el posicionamiento del elemento en el PPS, sin embargo, las propiedades del material, permiten influenciar valores como la tensión equivalente de Von Mises y la deformación estructural, mismos que son fundamentales para la absorción de energía y por tanto el cumplimiento de la normativa.
Se determina que el material óptimo para reemplazar al PP es el PLA, tomando en consideración la precisión con respecto a la generación de la malla y la selección multicriterio (MCDM). Se puede concluir que es posible la disminución de costos de preproducción usando la simulación computacional como herramienta de diseño con la finalidad de expandir las opciones de fabricación en la industria automotriz ecuatoriana.
Entre las limitaciones encontradas se tiene el uso del scanner 3D, puesto que su nivel de precisión es inferior a las herramientas de metrología usadas dentro de la ingeniería, por tanto, se debe corroborar físicamente las medidas en zonas críticas. Aunque se corroboró que el software tiene una buena precisión en cuanto a la obtención de datos de análisis explícitos, una vez iniciada la fase de prototipado es recomendable realizar ensayos físicos, puesto que existen factores externos que pueden influir en los valores obtenidos.
La investigación no fue financiada.
DECLARACIÓN DE CONFLICTO DE INTERÉS
Los autores declaran que no existe conflicto de interés.
APORTE DEL ARTÍCULO EN LA LÍNEA DE INVESTIGACIÓN
El artículo desarrollado, permite considerar a la simulación computacional como una herramienta para reducir costos, en eventos que requieren ser validados con ensayos destructivos en la línea de impactos o colisión de vehículos, estableciendo bases para seguir una metodología para estudios de análisis de reemplazo de material en sistemas de protección de peatones.
DECLARACIÓN DE CONTRIBUCIÓN DE CADA AUTOR
El aporte de Andrés Villarruel fue simular el sistema y la construcción del manuscrito. Juan Rocha y Edilberto Llanes contribuyeron en la supervisión de datos obtenidos y tutoría de la metodología del estudio desarrollado. Javier Martínez, desempeñó la revisión del análisis de datos y revisión del estado final del manuscrito presentado.
AGRADECIMIENTOS
A todo el equipo de trabajo.
[1] L. Zumba, Los carros tendrán un 16 % mínimo de piezas locales [online]. Quito: Diario Expreso, 2017 Disponible en: http://www.expreso.ec/economia/industriaautomotriz-automoviles-comex-esamble-DD1674713.
[2] K. Szeteiová, Automotive materials plastics in automotive markets today [online]. Bratislava: Institute of Production Technologies, Machine Technologies and Materials, Faculty of Material Science and Technology in Trnava, Slovak University of Technology Bratislava, 2010 Disponible en: https://www.mtf.stuba.sk/buxus/docs/internetovy_casopis/2010/3/szeteiova.pdf
[3] D. Chon, D. Uikey, & R. Mohammed, Energy Absorber Developments and Correlation. SAE Technical paper series, vol: 1, núm: 1763, 2007. doi:10.4271/2007-01-1763.
[4] S. Karimullah, A. Gokhale, S. Joshi, & S. Chalipat, Design of “Lower Stiffener” for Controlling Pedestrian Lower Leg Injuries. SAE Technical paper series, vol: 26, núm: 100, pp. 1-8, 2011. doi:https://doi.org/10.4271/2011-26-0100
[5] S. Shahbeyk, & A. Abvabi, A Numerical Study on the Effect of Accident Configuration on Pedestrian Lower Extremity Injuries. Scientia Iranica, vol: 16, núm: 5, pp. 379-387, 2009.
[6] P. Chatterjee, & S. Chakraborty, Material selection using preferential ranking methods. Materials and Design. Materials and Design, vol: 35, pp. 384-393, 2012. doi:10.1016/j.matdes.2011.09.027
[7] S. Chapra, & R. Canale, Métodos numéricos para ingenieros. México: MCGRAW-HILL, 2011.
[8] COMPLX, Introducción a LS-Dyna [online]. México: Ingeniería Avanzada para Soluciones Reales, 2017 Disponible en http://www.complx.com.mx/wp-content/uploads/2017/04/chapter1_2_2_rev1.pdf
[9] K. Karthikeyan, B. Russell, N. Fleck, H. Wadley, & V. Deshpande, The effect of shear strength on the ballistic response of laminated composite plates. European Journal of Mechanics-A/Solids, vol: 42, pp. 35-53, 2013. doi:10.1016/j.euromechsol.2013.04.002
[10] P. Arnoux, M. Behr, L. Thollon, J. Cardot, D. Cesari, & C. Brunet, Pedestrian lower limb injury criteria evaluation. Taylor & Francis, vol: 14, pp. 485-515, 2005. doi:http://dx.doi.org/10.3166/reef.14.487-515.
[11] Directiva 2003/102/CE, Protección de los peatones y otros usuarios vulnerables de la vía pública en caso de colisión con un vehículo de motor y por la que se modifica la Directiva 70/156/CEE del Consejo. Bruselas, 2003.
[12] Matweb, Material Property Data [online]. USA: MatWeb 2017 Disponible en http://www.matweb.com/
[13] GoodFellow, Catalogo [online]. Coroapolis: GoodFellow 2017 Disponible en http://www.goodfellow.com/sp/
[14] F. Xiong, D. Wang, Z. Ma, S. Chen, T. Lv, & F. Lu, Structure-material integrated multi-objective lightweight design of the front end structure of automobile body. Structural and Multidisciplinary Optimization, vol: 52, núm: 2, pp. 829-847, 2018.
[15] B. Ali, S. Sapuan, E. Zainudin, & M. Othman, Implementation of the expert decision system for environmental assessment in composite materials selection for automotive components. Journal of Cleaner Production, núm: 107, pp. 557-567, 2015.
[16] G. Tian, H. Zhang, Y. Feng, H. Jia, H, C. Zhang, Z. Jiang, & P. Li, Operation patterns analysis of automotive components remanufacturing industry development in China. Journal of Cleaner Production, núm: 164, pp. 1363-1375, 2017.
[17] C. Sivaraja, & G. Sakthivel. Compression ignition engine performance modelling using hybrid MCDM techniques for the selection of optimum fish oil biodiesel blend at different injection timings. Energy, núm: 139, pp. 118-141, 2017.
[18] A. Yousefi, & A. Hadi-Vencheh, An integrated group decision making model and its evaluation by DEA for automobile industry. Expert Systems with Application, vol: 37, núm: 12, 2010.

Andrés Villarruel-Jaramillo. ORCID iD
https://orcid.org/0000-0002-5735-8535 Obtuvo su grado en Ingeniería Automotriz
por la Universidad Tecnológica Equinoccial, Master en Diseño Mecánico por la
universidad Internacional SEK. Enfocado en la modelación y simulación
computacional en diseño mecánico. Investigador voluntario en la Universidad
Internacional SEK.

Juan Carlos Rocha-Hoyos. ORCID iD
https://orcid.org/0000-0003-0660-7199 Es Ingeniero Automotriz de la ESPE,
Magister de Sistemas Automotrices en la Escuela Politécnica Nacional. Temas de
investigación: elementos de sistemas automotrices, motores y sus emisiones,
además de la electrónica automotriz. Ha trabajado como profesor en la ESPE
durante 7 años y actualmente docente e investigador en la Universidad
Internacional SEK.

Edilberto Antonio Llanes
Cedeño. ORCID iD
https://orcid.org/0000-0001-6739-7661 Graduado de Ingeniero Mecánico
Automotriz y Master en Eficiencia Energética por la Universidad de
Cienfuegos–Cuba, graduado de Doctor en Ciencia por la Universidad Politécnica
de Madrid–España. Con 10 años de experiencia profesional en el área de transporte
automotor y con más de 15 años en la docencia. Ha sido profesor en varias
universidades: Universidad de Granma–Cuba, Universidad de Zambeze–Mozambique,
profesor invitado en la Universidad SEK Chile y actualmente profesor en la
Universidad Internacional SEK–Ecuador. Es autor de varias obras científicas.

Javier Martínez Gómez. ORCID iD
http://orcid.org/0000-0001-8807-7595 Ha recibido su título de Ingeniero
Industrial de la Universidad Carlos III de Madrid en 2008; de Master en Ciencia
e Ingeniería de Materiales de la Universidad Carlos III de Madrid en 2010; y su
título de Doctor en Ciencia de la Ingeniería de Materiales de la Universidad
Carlos III de Madrid en 2013, Sus campos de investigación están relacionados
con Menaje para cocinas para inducción y materiales para paredes en reactores
de Fusión. Actualmente trabaja como Investigador Postdoc Prometeo en el
Instituto Nacional de Eficiencia Energética y Energías Renovables, INER.
![]()
Esta obra está sujeta a la Licencia Reconocimiento-SinObraDerivada 4.0 Internacional de Creative Commons. Para ver una copia de esta licencia, visite http://creativecommons.org/licenses/by-nd/4.0/ o envíe una carta Creative Commons, PO Box 1866, Mountain View, CA 94042, USA.