ESTRATEGIAS DE MARKETING DIGITAL POR MEDIO DE REDES SOCIALES EN EL CONTEXTO DE LAS PYMES DEL ECUADOR
Digital
marketing strategy through social networks in the context of Ecuadorian SMES
Estratégias de comercialização digital através da rede social no contexto das
PME do equador
Oscar
López 1
, Carlos Beltrán 2
, Ricardo Morales3
& Omar Cavero4![]()
1 Universidad
Técnica de Ambato, Auditoría, Ambato-Ecuador, [email protected]
2 Universidad Técnica de Ambato, Ciencias Administrativas, Ambato-Ecuador, [email protected]
3Universidad Técnica de Ambato, Diseño, Arquitectura y Artes, Ambato-Ecuador, [email protected]
4Universidad Técnica de Ambato, Ciencias Humanas y de la Educación, Ambato-Ecuador, [email protected]
Fecha de recepción: 31 de Julio de 2017
Fecha de aceptación: 28 de junio de 2018
RESUMEN
INTRODUCCIÓN. Con el advenimiento de la tecnología, el uso de redes sociales se ha convertido en la principal vía para realizar anuncios publicitarios y llegar al consumidor o cliente final, sin embargo, en Ecuador pocas empresas aprovechan estos nuevos canales de publicidad. OBJETIVO. Este artículo describe un estudio documental exploratorio sobre Marketing Digital y dentro de esta área el uso de las redes sociales por pequeñas y medianas empresas (Pymes). MÉTODO. El estudio inició con una revisión bibliográfica en bases de datos científicas sobre estrategias de Marketing Digital. Posteriormente, se buscaron sitios web con observatorios y cifras comerciales en el ámbito de las redes sociales. Finalmente, se identificaron las estadísticas sobre el uso de redes sociales en las Pymes. RESULTADOS. Los resultados reflejaron que el 82% de las Pymes del Ecuador accede a Internet, pero su uso se limita a enviar correos y tareas administrativas. Se identificó que las grandes corporaciones, al disponer de más recursos o equipos responsables de la comunicación aprovechan las redes sociales con verdaderas campañas publicitarias. En este contexto hasta finales de 2017 las redes sociales más utilizadas fueron: Facebook, WhatsApp, Instagram, Twitter y YouTube. DISCUSIÓN Y CONCLUSIONES. El evidente crecimiento de usuarios en estas redes sociales en el Ecuador es quizás, un nuevo reto, que exigirá una reorientación interna y el planteamiento de nuevas formas de relacionarse con sus clientes.
Palabras claves: redes sociales, estrategias de posicionamiento, marketing digital, empresas ecuatorianas
ABSTRACT
INTRODUCTION. With the advent of technology, the use of social networks has become the main way to make advertisements and reach the consumer or end customer, however in Ecuador few companies take advantage of these new advertising channels. OBJECTIVE. This article describes an exploratory documentary study on digital marketing through the use of social networks by small and medium enterprises (SMEs). METHOD. The study began with a bibliographic review of scientific databases on digital marketing strategies. Subsequently, websites were searched with observatories and commercial figures in the field of social networks. Finally, statistics on the use of social networks in SMEs were identified. RESULTS The results showed that 82% of SMEs in Ecuador access the Internet, but their use is limited to sending emails and administrative tasks. The study identified that large corporations, having more resources or teams responsible for communication, take advantage of social networks with real advertising campaigns. In this context until the end of 2017 the most used social networks were: Facebook, WhatsApp, Instagram, Twitter and YouTube. DISCUSSION AND CONCLUSIONS. The evident growth of users in these social networks in Ecuador, is perhaps a new challenge, which will require an internal reorientation and the approach of new ways of relating to their customers.
Keywords: social networks, positioning strategies, digital marketing, Ecuadorian companies.
RESUMO
INTRODUÇÃO. Com o advento da tecnologia, o uso de redes sociais se converteu na principal vía para a realização de anuncios publicitarios e llegar todo o consumidor final, mas embargo, no Equador pocas empresas aprovechan estos nuevos canais de publicidad. OBJETIVO. Este artículo descreve um estudo documental exploratório sobre Marketing Digital e dentro desta área de uso das redes sociais por pequeñas e medianas empresas (Pymes). MÉTODO O estudo começou com uma revisão bibliográfica em bases de dados científicos sobre estratégias de Marketing Digital. Posteriormente, você pode encontrar sites com observatórios e lojas de cifras no bairro das redes sociais. Finalmente, se identificação as estatísticas sobre o uso de redes sociais nas Pymes. RESULTADOS. Resultados reflejaron that el 82% of the Pymes del Ecuador acceder a Internet, pero su uso se limita a enviar correos y tareas administrative. Identificaram as grandes corporações, todos os recursos de recursos, os responsáveis pela comunicação, as redes sociais com as verdaderas campañas publicitarias. En este contexto final de 2017 redes sociais mais utilizadas fueron: Facebook, WhatsApp, Instagram, Twitter e YouTube. DISCUSSÃO E CONCLUSÕES. El evidente crecimiento de usuarios en redes sociales en el Ecuador is quizás, un nuevo reto, que exigen una reorientación interna y the planteamiento de nuevas formas de relacionarse com seus clientes.
Palavras-chave: redes sociais, estrategias de posicionamiento, marketing digital, empresas ecuatorianas
INTRODUCCIÓN
En los últimos años, y en gran medida gracias al efecto dinamizador de las nuevas tecnologías de la información y la comunicación, las redes sociales no solo son un espacio para hacer publicaciones personales, se han convertido también en herramientas de trabajo para impulsar un sinnúmero de negocios [1].
Cada día se producen en el mundo millones de interacciones a través de redes sociales, como Facebook, Twitter, Linkedin, Youtube, entre otras. Nos hallamos, entonces, ante un fenómeno particular que, está teniendo un especial impacto en las relaciones entre las empresas y los consumidores. Esto ha dado lugar a una nueva área de desarrollo llamada Marketing Digital, que se enfoca en promover a las marcas, crear preferencia e incrementar las ventas utilizando canales de mercadeo en el ciberespacio y en particular las redes sociales [2]. La realidad es que las redes sociales están originando una profunda transformación de la experiencia del consumidor, que comienza a mostrar una marcada preferencia por la comunicación on-line frente a otros canales tradicionales, como la prensa, televisión, teléfono o correo electrónico. Esta situación está obligando a las empresas a pensar de forma más global y a generar estrategias de posicionamiento de sus productos, servicios y marca, con el fin de llegar a la mente de los consumidores respecto el resto de sus competidores [3].
En Ecuador, el uso de las redes sociales es cada vez más común en el ámbito personal, sin embargo, a nivel de empresas aún es un espacio que está siendo poco explorado, no existen muchas investigaciones sobre este tema en Ecuador [13]. Un estudio indica que una de las problemáticas en la actualidad que enfrentan las Pequeñas y Medianas Empresas (Pymes) ecuatorianas, es la falta de difusión en sus servicios profesionales a nivel de plataformas tecnológicas, considerándolos un inconveniente al momento de generar nuevos clientes. Generalmente empresas grandes disponen de más recursos o equipos responsables de la comunicación más grandes para manejar las redes sociales que las Pymes. Pero, esto no significa que las empresas grandes hacen un mejor trabajo [4], de ahí nace la pregunta de investigación ¿qué estrategias de Marketing Digital están haciendo las empresas ecuatorianas en las redes sociales?
Para responder a esta pregunta, este artículo hace un análisis del uso de redes sociales en el ámbito empresarial y describe las estrategias de posicionamiento utilizadas por empresas ecuatorianas. Con el objetivo de contextualizar el entorno actual de las plataformas tecnológicas, se parte de una reseña de la presencia de Internet en Ecuador y su evolución en el ámbito empresarial. Posteriormente, se describe el método basado en investigación bibliográfica y de campo en redes sociales. Finalmente, se exponen los resultados encontrados y las principales conclusiones del estudio.
ANTECEDENTES
En el Ecuador el Internet llegó en 1991, cuando la compañía Ecuanex facilitó el primer acceso gracias a un nodo establecido por la Corporación Interinstitucional de Comunicación Electrónica, Intercom. Para octubre de 1992, un segundo nodo Ecuanet fue establecido por la Corporación Ecuatoriana de Información, una entidad sin fines de lucro auspiciada por el Banco del Pacífico, la Escuela Politécnica del Litoral (ESPOL), la Universidad Católica Santiago de Guayaquil y otras entidades. El acceso a la información era textual a través de una interfaz de menús. Los costos aún eran altos y únicamente ciertas instituciones gubernamentales y educativas tenían acceso a Internet [5].
La masificación del Internet en el Ecuador se inicia en el año 1995 con el aparecimiento de exploradores gráficos, tales como, Netscape, Internet Explorer y Opera. Es entonces, cuando el sector comercial comienza a crear sus primeros sitios web. Estos sitios, conocidos como web 1.0 eran de solo lectura, es decir, el usuario no podía interactuar con el contenido de las páginas. Para las empresas lo primordial era el correo electrónico, porque lo que buscaban era comunicarse y era más económico que usar el fax o hacer una llamada [6].
En la década de los 2000 el Internet se empieza a consolidar y las Tecnologías de la Información y la Comunicación (TIC) son más comunes para los negocios. Comenzaron a aparecer nuevos proveedores de internet y cyber cafés en el País. Según la Agencia de Regulación y Control de las Telecomunicaciones (ARCOTEL) hasta marzo de 2018 existen aproximadamente 10 proveedores de Internet con participación en el mercado [7]. En la Figura 1 se puede observar que la Empresa Pública CNT (Corporación Nacional de Telecomunicaciones) absorbe más del 50% de abonados de Internet fijo.

Figura 1. Proveedores de Servicios de Internet con corte marzo 2018 [7]
En el año 2005 comienza una segunda generación en el Ecuador, aparecen los sitios web basados en comunidades de usuarios y una gama especial de servicios, como los blogs, los wikis y periódicos digitales, que fomentan la colaboración y el intercambio ágil de información entre los usuarios de una comunidad. Es lo que se le denomina Web 2.0 o también llamada web social por el enfoque colaborativo y de construcción social de esta herramienta [8]. En el ámbito empresarial se masifica el email e inicia la promoción comercial (mailing) para campañas políticas, promoción de bienes, productos o servicios y su uso en sistemas educativos [5-6].
En el año 2006, se conforman redes tanto profesionales como sociales, una de las primeras redes sociales que ingresaron al Ecuador era Hi5 que tenía principalmente una población joven. Facebook creada en el 2004 aún no tenía mucha presencia en la comunidad ecuatoriana y Twitter estaba siendo lanzado. Recién en junio del 2010 Facebook pasa a ser usada como una plataforma de comunicación empresarial –externo e interno– que no se limita a transmitir información sobre el negocio, sino que, además, permite a los clientes interpretar la información con otros potenciales clientes y, de esta forma, conseguir que formen parte y enriquezcan el proceso informativo [8]. En ese año se tenían aproximadamente 1 millón de cuentas en redes sociales, en el 2011 se habían triplicado, en el 2014 ya se tenían 7 millones y en el 2018 superan los 11 millones [5,7,9]. Esto generó que las grandes empresas comiencen a dirigir mensajes comerciales de extrema relevancia a un público objetivo muy específico, en lugar de destinar únicamente la publicidad a una masa uniforme a través de la televisión o la prensa. Por otro lado, según un estudio publicado en Diario El Comercio, el 82% de Pymes de Ecuador accede a Internet, pero su uso se limita a enviar correos y tareas administrativas. A esta conclusión se llegó tras una investigación de mercado aplicada a 7 750 establecimientos segmentados por tipo de actividad (comercio, servicio, manufactura e información/comunicación) y tipo de establecimiento (microempresa, pequeña empresa y mediana empresa). La investigación de campo se realizó en 11 ciudades del país: Ibarra, Santo Domingo, Quito, Ambato, Riobamba, Manta, Portoviejo, Guayaquil, Machala, Cuenca y Loja, por parte del Ministerio de Telecomunicaciones. En la Figura 2 y Figura 3 se resumen las ocho actividades que más realizan las Pymes con el Internet [14].

Figura 2. Primeras cuatro actividades de las Pymes en Internet [14]
Los datos revelan que el Internet en los tres tipos de establecimientos se usa más para fines administrativos: En cuanto a la banca electrónica y uso de servicios financieros, su utilización en la mediana y pequeña empresa es amplia, en el 78,2% y 68,5%, respectivamente, pero entre las microempresas su uso es intermedio, pues solo el 51,1% de estas lo usa. Se da un poco uso en capacitación al personal y contrataciones internas y externas. Sin embargo, para enviar o recibir correos se tiene mucho uso en promedio un 99,1% en los tres tipos de instituciones.
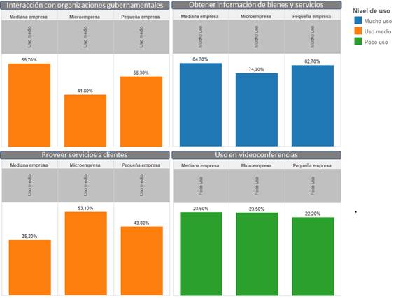
En las siguientes cuatro actividades que se muestran en la Figura 3, se puede observar que la interacción con organizaciones gubernamentales es de medio uso, en promedio de los tres tipos de organizaciones es de 55,60%. En el caso de obtener información de bienes y servicios es donde mayor uso existe, en la mediana empresa (84,70%), seguida de la pequeña empresa (82,70%) y la microempresa (74,3%). De igual manera en la provisión de servicios a clientes es de uso medio, principalmente en la microempresa (53,1%), seguida de la pequeña empresa (43,8%) y la mediana (35,2%). Finalmente, el uso en videoconferencias es bajo, la mediana empresa usa un 23,60%, mientras que la microempresa el 23,50% y la pequeña empresa el 22,20%.
Figura 3. Segundas
cuatro actividades de las Pymes en Internet [14]
Estas cifras ponen en evidencia que, en la muestra de Pymes investigadas, no consta la publicidad en internet entre las actividades más usadas, dato importante que motiva a buscar datos bibliográficos en el área de Marketing Digital, especialmente en redes sociales. Con esta investigación se pretende identificar qué usos y qué estrategias de posicionamiento están realizando las empresas para un crecimiento de usuarios con conexión a internet. Según la Superintendencia de Comunicaciones el crecimiento de la conexión móvil, hasta marzo de 2018 alcanza a 12 millones de usuarios ecuatorianos de internet [7]. Esto trae a la reflexión que este crecimiento favorece a las empresas para llegar a más clientes potenciales, frente a los medios convencionales, que resultan más costosos. Para dar respuesta a las interrogantes de investigación, a continuación, se plantea el siguiente método.
MÉTODO
Fuentes
La población en este estudio corresponde a las empresas ecuatorianas que tienen presencia en Internet, específicamente en redes sociales. Para recabar esta información se utilizaron tres fuentes. La primera, bases de datos científicas, como Redalyc, Scielo, Dialnet. La segunda, prensa y revistas económicas de opinión, como El Comercio, Revista Líderes y repositorios de datos abiertos como, INEC, CIESPAL, ARCOTEL. Finalmente, las mismas redes sociales, como Facebook, Whatsapp, Youtube, Instagram y Twitter.
Normas éticas de investigación
Esta investigación, al ser de tipo documental no tiene incidencias éticas, pero si se aplica confidencialidad de la información de las empresas.
Instrumentos y Técnicas de recolección de datos
El principal instrumento utilizado para la recolección de datos fue un computador con conexión a internet. Con un explorador web se realizaron búsquedas en repositorios de documentos científicos, repositorios de datos abiertos y cuentas de redes sociales para acceder al proceso de búsqueda.
Técnicas de análisis de datos
En este estudio se utilizó una técnica descriptiva, en la cual se utilizan los datos observados para realizar un resumen de la información que contienen.
Procedimiento
La investigación documental fue realizada en dos etapas: la primera mediante la utilización de investigación bibliográfica y la segunda mediante una búsqueda en sitios web con observatorios y cifras comerciales en el ámbito de las redes sociales.
RESULTADOS
Las diversas fuentes informativas permitieron obtener una imagen muy cercana a la cantidad y realidad ecuatoriana del uso de redes sociales a nivel general. En este contexto se evidencia que las redes sociales se han convertido en un fenómeno global, entre las que han dominado el ciberespacio se pueden destacar: Facebook, una red social con 2,000 millones de usuarios en el mundo; seguida por YouTube, con 1,500 millones; WhatsApp (app de Facebook) con 1.200 millones, Wechat, el gigante de mensajería asiático con 889 millones, Google+ con 540 millones, Instagram con 400 millones, Twitter con 320 millones y LinkedIn con 100 millones [3].
El Ecuador no es lejano a este fenómeno y se ha podido encontrar un Mapa de Medios digitales del Ecuador del año 2012, realizado por el Centro Internacional de Estudios Superiores de Comunicación para América Latina, en la que describe las redes sociales más usadas en los medios digitales ecuatorianos, por orden de importancia, son: Facebook, Twitter, RSS, Youtube, Ustream, JustinTV, Google+ [5]. En el año 2015, según el Instituto Nacional de Estadísticas y Censos (INEC), la red social Facebook se mantiene en la cabeza de la lista, en segundo lugar, está Whatsapp y Twitter en tercero [9]. En la Figura 4 se pueden ver las cifras en millones de usuarios en estas redes sociales.

Figura 4. Redes Sociales con mayor número de usuario en el Ecuador hasta 2015 [9]
En el 2017, 13 millones de usuarios acceden regularmente a Internet en Ecuador, tanto desde dispositivos móviles como de escritorio. La red social Facebook mantiene el liderazgo absoluto con 11 millones de usuarios registrados, de los cuales, un promedio de 6,4 millones es activos mensualmente, seguido Instagram con 3.1 millones, tercero LinkedIn con 1.8 millones y cuarto Twitter con 800 mil usuarios [10]. Todas estas redes, utilizadas principalmente desde dispositivos móviles (ver Figura 5).

Figura 5. Redes Sociales con mayor número de usuario en el Ecuador hasta Julio 2017 [10]
Como se puede observar Facebook es una de las redes sociales más visitadas del mundo y también del Ecuador, lo que da a pensar que existen millones de clientes potenciales para posicionar un producto, servicio o marca. El posicionamiento de marca con Facebook se desarrolla creando páginas de información, promociones, noticias, vídeos, fotos de productos, y campañas pagadas que permiten promover el contenido que se publica en la red social.
A finales del 2017 según BrandEc, Blog de branding y comunicación indica que otras redes entran en escena. Facebook sigue liderando, seguida de WhatsApp, Instagram y Twitter [15]. En la Figura 6 se pueden observar estas estadísticas.

Figura 6. Uso de Redes Sociales en el Ecuador hasta diciembre de 2017 [15]
En este mismo estudio, se presentan estadísticas relacionadas a las edades de los usuarios, como se puede observar en la Figura 7.

Figura 7. Uso de Redes Sociales en el Ecuador según edad de los usuarios [15]
En el estudio se indica que el teléfono inteligente sigue siendo el dispositivo más usado durante el día, aunque tiene caídas significativas en horarios laborales. Por otro lado, se menciona que Facebook y Youtube realizan una batalla campal sobre quien tiene mayor cantidad de reproducciones [15].
En el ámbito empresarial, muchas empresas, viendo el crecimiento de la actividad de las redes sociales, están comenzando a utilizarlas en su estrategia de Marketing debido al bajo costo de uso y su popularidad, siendo utilizadas para la construcción de marca y para medir la reputación de las relaciones con los clientes. La empresa posiciona su marca a través de interacción con los potenciales consumidores, escuchándolos y creando una relación de mayor lealtad que genera credibilidad y posicionamiento de marca [11].
Según Socialbakers – una empresa especializada en el estudio y análisis de estadísticas digitales – para el año 2017, las 10 empresas ecuatorianas con mayor número de fans en Facebook se muestran en la Tabla 1 [12].
Tabla 1. Reporte de Social Marketing 2017 [12]
|
No. |
Fan Page |
Total fans |
|
1 |
Barcelona Sporting Club |
3,729,085 |
|
2 |
Ecuavisa |
3,111,683 |
|
3 |
TC Televisión |
2,699,154 |
|
4 |
Anthony Swag |
2,260,469 |
|
5 |
Chevrolet |
2,226,507 |
|
6 |
DIRECTV Latin America |
2,012,197 |
|
7 |
Teleamazonas |
1,905,888 |
|
8 |
Marathon Sports |
1,662,892 |
|
9 |
El Universo |
1,543,503 |
|
10 |
Claro Ecuador |
1,540,661 |
En este escenario, las empresas luchan por tener contenidos nuevos, historias que enganchen e incorporan múltiples contenidos visuales y gráficos al comunicarse. Facebook ha sido un excelente espacio para experimentar recurriendo a una rápida innovación con el fin de lograr una mejor forma de contar historias a sus fans [12].
Las estadísticas presentadas hacen referencia principalmente a Facebook, por ser la que más usuarios tiene a nivel corporativo. Sin embargo, poco se conoce de las Pymes. Al respecto se realizó una búsqueda cronológica de estudios bibliográficos. Los resultados encontrados se presentan en la Tabla 2.
Tabla 2. Reporte de investigaciones de Marketing Digital en Pymes del Ecuador
|
No. |
Estudio |
Año |
|
1 |
Investigación de la Estructura de Marketing Estratégico de las Pymes del Sector Turístico en la Ciudad de Quito |
2013 |
|
2 |
Estudio del Marketing Digital para pequeñas y medianas empresas del Distrito Metropolitano de Quito. año 2013 |
2013 |
|
3 |
La marca ecuatoriana y su gestión en redes sociales |
2014 |
|
4 |
Las redes sociales una alternativa al Marketing en las Pymes |
2015 |
|
5 |
Impacto de las Redes sociales en los ingresos de los hoteles en Colombia, Ecuador y Perú |
2016 |
|
6 |
Redes sociales y su impacto en la difusión de servicios tecnológicos de las empresas del Ecuador |
2017 |
|
7 |
La innovación tecnológica de las Pymes manufactureras del Cantón Ambato – Ecuador |
2017 |
DISCUSIÓN Y CONCLUSIONES
La información presentada en este artículo, se enfoca principalmente a estadísticas encontradas en fuentes bibliográficas científicas, repositorios de datos gubernamentales y empresas privadas que actúan de observatorios. A continuación, se realiza un análisis de las investigaciones descritas en la sección anterior.
El auge del Marketing Digital en el Ecuador empieza en el año 2013 con un estudio relacionado al Marketing en las Pymes del sector turístico. En el cual se aplicó una encuesta a 51 de las 2.354 Pymes dedicadas al sector turístico en la ciudad de Quito, como resultado general, se obtuvo que el 75% de estas son manejadas en gran cantidad de manera empírica y que el Marketing es muy deficiente, muy informal, no se implementa y como resultado se obtienen falencias de gestión, poca participación de mercado, reducidas ventas y muy bajas utilidades en muchos de los casos. En cuanto al Marketing Digital y uso de redes sociales no se presentan resultados, sin embargo, sugieren una estrategia basada en la recomendación “boca a boca”, que es ofrecer premios por cada nuevo cliente que recomienden la visita de publicidad en las redes sociales [16].
Otro estudio realizado en el año 2013, sobre Marketing Digital para pequeñas y medianas empresas del Distrito Metropolitano de Quito, se enfocó en determinar la efectividad de las estrategias digitales para las Pymes, aplicando una encuesta a una muestra de 98 empresas de un universo de 4943. Entre los resultados que se obtuvieron está que el 76.27% utilizan alguna herramienta de comunicación y publicidad, entre ellas está el Internet con 82,22%, la prensa escrita con 32,22%, medios no convencionales (BTL) con 27,78%, Otro medio con 25,56%, televisión con 12,22% y radio con 7,78%. En el contexto de Internet, se tiene que el 92,86% utilizan páginas web, seguido de las redes sociales con el 61,90%, posicionamiento en buscadores (SEO) con 44,05%, pauta en buscadores (Google Adwards) con 21,43%, aplicación de teléfonos inteligentes con 20,24%, publicidad en Internet (Adsense) con 8,33%, email marketing con 1,19% y SMS con 1,19%. Dentro de la línea de Internet, las redes sociales más conocidas está: Facebook con el 98,92%, Twitter con 94,62%, YouTube 82,80%, Google+ con 65,59%, LinkedIn con 64,52%, MySpace con 25,81%, Instagram 17,20%, Pinterest con 6,45% y otras con 3,23%. Sin embargo, estas herramientas de Marketing Digital no son explotadas por las Pymes. Casi la totalidad de empresas encuestadas estarían dispuestas a contratar servicios de Marketing Digital, de estas la mayor parte pertenece al sector económico denominado comercio al por mayor y menor y todas las que estarían interesadas a invertir sobre los $6.000,00 pertenecen al sector turístico [17].
Un estudio realizado en el año 2014, sobre la gestión de la marca ecuatoriana y su gestión en las redes sociales, refleja el crecimiento del Marketing Social. En el estudio se listan 26 empresas que incursionaron en estrategias digitales. Tres de ellas fueron analizadas en profundidad: Chevrolet (vehículos); Universidad Técnica Particular de Loja (educación a distancia) y Supermaxi (supermercados). Los resultados de la investigación, permitieron conocer la transición hacia la comunicación en las redes y su implicación en el modelo de negocios de las agencias de publicidad, sus características, técnicas y su proyección como medio interactivo [4].
Un estudio documental, presenta una aproximación conceptual sobre las posibilidades del Marketing en las Pymes, a través de las redes sociales en período 2010 al 2015, en el cual se utilizó Harzing´s Publish or Perish, un software que recupera y analiza citas académicas. En los documentos analizados, se aprecia la evolución del marketing como disciplina y la capacidad de acople con los cambios tecnológicos y a los nuevos espacios desarrollados con el progreso de Internet como medio masivo y potente de comunicación. Estos resultados, muestran propuestas relacionadas con la generación de sitios web, la importancia -presencia- en las redes sociales y de posicionar un producto en la mente de los consumidores en un lugar privilegiado, con respecto a los productos de la competencia; a lo cual se le agrega como resultado de esta investigación, la importancia de comunicar, compartir y monitorear estos espacios en las Pymes [18].
Un estudio realizado en el 2016, presenta como objetivo analizar la influencia de las valoraciones de los hoteles en las redes sociales y cómo estas afectan los ingresos de los hoteles. A partir de agosto de 2014 hasta julio de 2015, se obtuvieron datos mensuales de 48 hoteles de Colombia, Ecuador y Perú. Se analizaron las siguientes variables: GRI (Global Review Index), Oferta, Demanda, Venta, RevPAR (Revenue Per Avalable Room) y Ubicación. En Ecuador se observaron el Hotel Sheraton Quito y 5 hoteles de su set competitivo y el Hotel Howard Johnson de Guayaquil con 5 hoteles de su set competitivo. Mediante análisis de conglomerados y un modelo lineal se encontró que un mejor GRI favorece a una mejor ratio entre las ventas y la oferta. En concreto, se observó que cuando el GRI se incrementa en una unidad, el RevPAR crece en 0,49%, manteniendo el resto de las variables constantes [19].
Otro estudio realizado en el año 2016, es el impacto de las redes sociales en la difusión de servicios tecnológicos en las empresas del Ecuador. Se llevó a cabo con la realización de un análisis comparativo que permitió denotar las escalas significativas de alcance progresivo que se producen al gestionar el buen uso de las redes sociales en el ámbito empresarial. Una vez realizados los análisis de campo en las redes sociales, aplicando técnicas de advertising y mediante la utilización de Facebook, considerándolo como la red social más empleada por las empresas, para la difusión de servicios; se pudo apreciar, que en el Ecuador existe un público aproximado de 8’900.000 usuarios, de los cuales 1’400.000 son gestores de páginas de la red social Facebook de diversas empresas de servicios. Dentro de las ciudades con mayor población de empresas en redes sociales, se encontró que Guayaquil ocupa el primer lugar, seguido por Quito y Cuenca [20]. En la Tabla 3 se muestran las principales empresas encontradas y el uso en las principales redes sociales según el número de usuarios.
Tabla 3. Empresas del Ecuador de servicios tecnológico en Redes Sociales [20]
|
No. |
Empresa |
|
|
|
|
1 |
Tecnomega C.A |
si |
si |
|
|
2 |
Siglo 21 |
Si |
Si |
|
|
3 |
Movistar Ecuador |
Si |
Si |
Si |
|
4 |
Academy Xpert |
Si |
Si |
Si |
|
5 |
Claro Ecuador |
Si |
Si |
Si |
|
6 |
Blue it |
Si |
Si |
|
|
7 |
IT Capacitamos |
Si |
Si |
|
|
8 |
Certificate Training Center |
Si |
Si |
Si |
|
9 |
Cartimex |
Si |
Si |
|
|
10 |
Tecnosmart Ecuador |
Si |
Si |
Si |
|
11 |
Prominds |
Si |
Si |
Si |
|
12 |
Cisco |
si |
si |
si |
El uso de redes sociales para la difusión de servicios tecnológicos en las empresas del Ecuador es de vital importancia, debido al alcance progresivo de proporciona a cada una de ellas. El estudio concluye en que las escalas comparativas de difusión de servicios tecnológicos frente a métodos habituales son muy significativas, generando un alto impacto en la utilización de estas, dentro de las empresas de servicios del Ecuador [20].
Un estudio reciente del año 2017, sobre la innovación tecnológica de las Pymes manufactureras del Cantón Ambato, aún se evidencian bajos niveles de innovación tecnológica en el ámbito corporativo, principalmente en pequeñas y medianas empresas, que afectan directamente a la competitividad de las mismas. Bajo este escenario, se investigó la innovación tecnológica en las Pymes de este sector manufacturero, involucrando a 111 empresas que representaban a una muestra por conglomerados. Con los datos obtenidos se identificó que las empresas manufactureras destinan el 20% del presupuesto para realizar innovación tecnológica, y lo hacen con el objeto de crear nuevos productos, porcentaje relativamente alto (64,86%) en comparación con el total nacional (37,5%) [21].
Con base a la información encontrada, se puede inferir que el Marketing Digital por medio de redes sociales, es un campo poco desarrollado en las Pymes del Ecuador. El motivo principal parece ser la falta de conocimiento, el miedo al cambio o riesgo de cambiar del marketing tradicional al Marketing Digital; así como el desconocimiento de la inversión frente a medios tradicionales. Este hecho constituye una oportunidad para que Pymes del Ecuador inviertan en Marketing Digital, específicamente aprovechando el potencial de las redes sociales, que en la actualidad están bien posicionadas. Además, aprovechar el auge de los consumidores que están cada vez más volcados al uso de dispositivos móviles, los cuales son cada vez más importantes para la publicidad y el comercio electrónico. El mercado está, por tanto, en auge y el futuro parece bastante brillante para las redes sociales.
FUENTES DE FINANCIAMIENTO
Este trabajo tiene el aval de la Facultad de Ciencias Administrativas de la Universidad Técnica de Ambato, y por su intermedio la asignación de horas de investigación para realización de este estudio.
DECLARACIÓN DE CONFLICTO DE INTERÉS
Los autores de este artículo declaramos que no existen conflicto de interés alguno. Toda la información ha sido tomada de bases de datos científicas y de repositorios de datos abiertos.
APORTE DEL ARTÍCULO EN LA LÍNEA DE INVESTIGACIÓN
Al terminar esta investigación documental se pudo evidenciar que existen pocas publicaciones académicas sobre el diseño de estrategias de posicionamiento de redes sociales en el Ecuador por parte de las Pymes, por lo que se espera que este artículo contribuya a investigadores, estudiantes, comunicadores, anunciantes o agencias de publicidad que incursionen en este campo.
DECLARACIÓN DE CONTRIBUCIÓN DE CADA AUTOR
La idea de Investigación nació de Oscar López como parte de la preparación de contenido de la Maestría en Gerencia Financiera Empresarial y Marketing; organizó al equipo de investigación y recopiló la información para la edición del artículo. Carlos Beltrán, se encargó de explorar en las redes sociales la presencia de publicidad de empresas ecuatorianas, mientras que Pablo Morales y Omar Cavero se encargaron de la investigación documental.
REFERENCIAS
[1] F. Casani, J. Rodríguez & F. Sánchez. Los nuevos modelos de negocio en la economía creativa: Emociones y redes sociales, Universia Business Review, Portal Universia S.A., Madrid-España, núm. 33, pp. 48-69, 2012
[2] F. Saavedra, J. Rialp & J. Llonch. El uso de las redes sociales digitales como herramienta de marketing en el desempeño empresarial, Cuadernos de Administración, vol. 26, núm. 47, pp. 205-231, 2013
[3] F. Gasner. Redes sociales: La experiencia del cliente con su marca no termina en Facebook, Harvard Deusto Márketing y Ventas, núm. 111, pp. 48-52, 2012
[4] F. Paladines, C. Granda & A. Velásquez. La marca ecuatoriana y su gestión en redes sociales. Razón y Palabra, Primera Revista Electrónica en Iberoamérica Especializada en Comunicación, Número 86, 2014.
[5] CIESPAL. Mapa de Medios digitales del Ecuador 2012, Centro Internacional de Estudios Superiores de Comunicación para América Latina, 2012
[6] X. Chica. "Estudio de factibilidad de un proveedor de servicio de valor agregado inalámbrico en el cantón Pedro Carbo," Tesis de titulación previo a la obtención del título de Ingeniera en Teleinformática, Universidad de Guayaquil, Guayaquil-Ecuador, 2014
[7] ARCOTEL. Cuentas y usuarios del servicio de acceso a internet, Agencia de Regulación y Control de las Tele-comunicaciones, 2017
[8] R. González. Reseña de la empresa en la Web 2.0. Revista Galega de Economía, Universidad de Santiago de Compostela, España, vol. 20, núm. 1, pp. 1-3, 2011
[9] INEC. Censo ecuatoriano de 2010. Instituto Nacional de Estadística y Censos, Quito-Ecuador, 2010
[10] J. Del Alcazar Ponce. Ranking Redes Sociales, Sitios Web y Aplicaciones Móviles Ecuador 2017, 2017, Disponible en http://blog.formaciongerencial.com
[11] L. Del Harris and A. Rae. Social networks: The future of marketing for small business. The Journal of Business Strategy, vol. 30, núm. 5, pp. 24-31, 2009
[12] Social Backers. Ecuador Facebook page statistics, 2017, Disponible en https://www.socialbakers.com
[13] J. León, G. Vera, and L. Zabrano. Redes sociales y su impacto en la difusión de servicios tecnológicos de las empresas del Ecuador. Conference Proceedings UTMACH. Congreso Internacional de Ciencia y Tecnología. vol. 1, núm. 1, pp. 306-315, 2017
[14] M. Orozco y G. Quiroz. El 82% de pymes de Ecuador accede a Internet, pero su uso se limita a enviar correos y tareas administrativas. El Comercio, 19/07/2015, Disponible en http://www.elcomercio.com/actualidad/pymes-internet-ecuador-tecnologia-empresas.html
[15] A. Arboleda. Estadísticas de redes sociales en Ecuador 2017, BrandEc Blog de branding y comunicación. Disponible en http://www.hablemosdemarcas.com/estadisticas-de-redes-sociales-en-ecuador-2017
[16] C. Charron. Investigación de la estructura de marketing estratégico de las Pymes del sector turístico en la ciudad de Quito año 2013, Tesis de Maestría en Administración de Negocios (MBA), Repositorio Digital Universidad Internacional SEK, 2013
[17] S. Collantes. Estudio del Marketing Digital para pequeñas y medianas empresas del Distrito Metropolitano de Quito. año 2013, Tesis de Maestría en Administración de Negocios (MBA), Repositorio Digital Universidad Internacional SEK, 2013
[18] L. Santillán y E. Medrano. Las Redes Sociales una Alternativa al Marketing en las Pymes, Revista Publicando, 2(4),111-121, 2015
[19] J. Majó, D. Moya y Laura Vall-Llosera. Impacto de las Redes sociales en los ingresos de los hoteles en Colombia, Ecuador y Perú, Revista Facultad de Ciencias Económicas: Investigación y Reflexión, vol.26, n.1, pp.147-162, 2016
[20] J. León, G. Vera y L. Bastidas. Redes sociales y su impacto en la difusión de servicios tecnológicos de las empresas del Ecuador, Revista Científica Dominio de las Ciencias, Vol. 3, núm. 2, (esp.), pp. 770-784, 2017.
[21] L. Mantilla, M. Ruiz, C. Mayorga, A. Vilcacundo. La innovación tecnológica de las Pymes manufactureras del Cantón Ambato – Ecuador, Revista Científica Hermes, ISSN-e 2175-0556, Nº. 17, pp. 3-17, 2017
NOTA BIOGRÁFICA
Oscar Patricio López Solís.
ORCID Id https://orcid.org/0000-0002-7443-6312 Ingeniero en Gestión
Financiera, Maestría en Gerencia Financiera Empresarial y Marketing,
experiencia en análisis, evaluación y seguimiento de productos financieros en
la banca pública y privada, consultor independiente en áreas financieras,
administrativas y de mercado, docente universitario en pregrado y posgrado,
desde el año 2006. Actualmente es docente de la Facultad de Auditoría en la
Universidad Técnica de Ambato.
![]()
Carlos Javier Beltrán Ávalos.
ORCID Id https://orcid.org/0000-0002-7712-0620 Ingeniero Comercial,
Maestría en Marketing en la Universidad Técnica de Ambato. Docente investigador
de la Facultad de Ciencias Administrativas y de la Facultad de Arquitectura y
Artes de la Universidad Técnica de Ambato.

Pablo Ricardo Morales Fiallos.
ORCID Id https://orcid.org/0000-0003-0625-803X Magister en Marketing de la
Universidad Técnica de Ambato. Docente investigador de la Facultad de Diseño,
Arquitectura y Arte de la Universidad Técnica de Ambato. Experiencia
profesional en la empresa A-Max desde el 2010 hasta el 2013.

Omar Damián Cavero Álvarez.
ORCID Id https://orcid.org/0000-0001-8824-7478 Tecnólogo en Administración de Pequeñas
y Medianas Empresas Pymes por la Pontificia Universidad Católica del Ecuador.
Ingeniero en Gestión Financiera. Magister en Marketing por la Universidad
Técnica de Ambato. Ejerce la Docencia desde el 2011. En el campo profesional ha
ocupado diferentes cargos como: Asesor empresarial “Pymes y Asociados”, Gerente
General y Administrativo “Venta -Lum”.
![]()
Esta obra está sujeta a la Licencia Reconocimiento-SinObraDerivada 4.0 Internacional de Creative Commons. Para ver una copia de esta licencia, visite http://creativecommons.org/licenses/by-nd/4.0/ o envíe una carta Creative Commons, PO Box 1866, Mountain View, CA 94042, USA.